44 قمت برمي كرة بشكل رأسي إلى أعلى



قمت برمي كرة بشكل راسي الي اعلى فاذا كان اقصى ارتفاع تصل اليه الكره 0 25m ما السرعه الابتدائية للكرة بيت العلم

قمت برمي كرة بشكل راسي الي اعلى فاذا كان اقصى ارتفاع تصل اليه الكره 0 25m ما السرعه الابتدائية للكرة بيت العلم

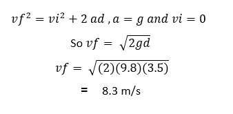
رميت كرة بشكل رأسي إلى أعلى وكان أقصى ارتفاع وصلت إليه 0 25m ما السرعة الابتدائية للكرة قوت المعلومات

رميت كرة بشكل رأسي إلى أعلى وكان أقصى ارتفاع وصلت إليه 0 25m ما السرعة الابتدائية للكرة قوت المعلومات

حل المسائل التدريبية لدرس السقوط الحر الحركة المتسارعة العلم نور

حل المسائل التدريبية لدرس السقوط الحر الحركة المتسارعة العلم نور

حل المسائل التدريبية لدرس السقوط الحر الحركة المتسارعة العلم نور

حل المسائل التدريبية لدرس السقوط الحر الحركة المتسارعة العلم نور

حل المسائل التدريبية لدرس السقوط الحر الحركة المتسارعة العلم نور

حل المسائل التدريبية لدرس السقوط الحر الحركة المتسارعة العلم نور

حل المسائل التدريبية لدرس السقوط الحر الحركة المتسارعة العلم نور

حل المسائل التدريبية لدرس السقوط الحر الحركة المتسارعة العلم نور

حل المسائل التدريبية لدرس السقوط الحر الحركة المتسارعة العلم نور

حل المسائل التدريبية لدرس السقوط الحر الحركة المتسارعة العلم نور

حل المسائل التدريبية لدرس السقوط الحر الحركة المتسارعة العلم نور

حل المسائل التدريبية لدرس السقوط الحر الحركة المتسارعة العلم نور

حل المسائل التدريبية لدرس السقوط الحر الحركة المتسارعة العلم نور

حل المسائل التدريبية لدرس السقوط الحر الحركة المتسارعة العلم نور

حل المسائل التدريبية لدرس السقوط الحر الحركة المتسارعة العلم نور

حل المسائل التدريبية لدرس السقوط الحر الحركة المتسارعة العلم نور

حل المسائل التدريبية لدرس السقوط الحر الحركة المتسارعة العلم نور

Https Books Library Online Files Books Library Online 10222155ei2f2 Pdf

Https Books Library Online Files Books Library Online 10222155ei2f2 Pdf

ﺗﻢ ﺗﺤﻤﻴﻞ ﻫﺬﺍ ﺍﻟﻤﻠﻒ ﻣﻦ ﻣﻮﻗﻊ ﺍﻟﻤﻨﺎﻫﺞ ﺍﻹﻣﺎﺭﺍﺗﻴﺔ ﻟﻠ H

ﺗﻢ ﺗﺤﻤﻴﻞ ﻫﺬﺍ ﺍﻟﻤﻠﻒ ﻣﻦ ﻣﻮﻗﻊ ﺍﻟﻤﻨﺎﻫﺞ ﺍﻹﻣﺎﺭﺍﺗﻴﺔ ﻟﻠ H

Https Books Library Online Files Books Library Online 10222155ei2f2 Pdf

Https Books Library Online Files Books Library Online 10222155ei2f2 Pdf

فيزياء الكرة النطاطة ويكيبيديا

فيزياء الكرة النطاطة ويكيبيديا

Physics 1a

Physics 1a

Https Books Library Online Files Books Library Online 10222155ei2f2 Pdf

Https Books Library Online Files Books Library Online 10222155ei2f2 Pdf

كيفية لعب كرة الريشة بالصور كيف 2021

كيفية لعب كرة الريشة بالصور كيف 2021

Https Books Library Online Files Books Library Online 10222155ei2f2 Pdf

Https Books Library Online Files Books Library Online 10222155ei2f2 Pdf

Https Elearning Etec Gov Sa Tahsili Assets Pdf Physics Physics 1a Pdf

Https Elearning Etec Gov Sa Tahsili Assets Pdf Physics Physics 1a Pdf

فيزياء الكرة النطاطة ويكيبيديا

فيزياء الكرة النطاطة ويكيبيديا

Https Books Library Online Files Books Library Online 10222155ei2f2 Pdf

Https Books Library Online Files Books Library Online 10222155ei2f2 Pdf

Calameo Pdf 2553

Calameo Pdf 2553

Https Edunet Bh E Content Level 3 Stage 10 Subject Id 27 Part 3 E Books Phys210 217 Files Assets Common Downloads T Pdf

Https Edunet Bh E Content Level 3 Stage 10 Subject Id 27 Part 3 E Books Phys210 217 Files Assets Common Downloads T Pdf

2020 Koreana Autumn Arabic By The Korea Foundation Issuu

2020 Koreana Autumn Arabic By The Korea Foundation Issuu

Source : pinterest.com